首页
比特币
价格行情交易
区块链技术
社会百科
金融理财
快讯
首页
包含"向量叉乘公式"标签的文章
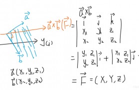
向量叉乘公式 向量叉乘公式坐标公式
设A=a向量叉乘公式,b,B=c,d,大小AXB=sqrta^2+b^2*sqrtc^2+d^2*s...
243
2023-03-28
最新文章
面包能带上飞机吗 面包能带上飞机吗国内航班
zhuo 灼灼韶华
优派显示器怎么样 显示器十大排名
籍贯拼音 籍贯是填中国吗
死飞 死飞和活飞有什么区别
苹果耳机使用说明 华为耳机使用说明
友情链接
百科知识