向量叉乘公式 向量叉乘公式坐标公式
设A=a向量叉乘公式,b,B=c,d,大小AXB=sqrta^2+b^2*sqrtc^2+d^2*sinltA,B,大小就是为A,B构成临边的平行四边形的面积方向为右手系中垂直于A,B所在平面对于sinltA,B,sinA=bsqrta^2+b^2。

点乘是向量的内积叉乘是向量的外积2结果单位不同点乘,结果是一个向量在另一个向量方向上投影的长度,是一个标量叉乘,也叫向量积结果是一个和已有两个向量都垂直的向量3计算方法不同点乘,公式a *。
向量的乘积公式 向量a=x1,y1,向量b=x2,y2a·b=x1x2+y1y2=abcosθθ是a,b夹角PS向量之间不叫quot乘积quot,而叫数量积如a·b叫做a与b的数量积或a点乘b 向量积公式 向量积c=a×b=a。
叉乘公式是向量c=向量a×向量b=absin向量叉乘公式原理是向量c的方向与a,b所在的平面垂直,且方向要用“右手法则”判断,用右手的四指先表示向量a的方向,然后手指朝着手心的方向摆动到向量b的方向,大。
即先做两个向量的叉乘,然后与第三个向量作点积如果向量叉乘公式你学过行列式,就用行列式展开,如果没学过行列式,那就先计算两个向量的叉乘,再算点积,最终的公式为a1b2c3+b1c2a3+c1a2b3a1c2b3b1a2c3c1b2a3。
叉乘,也叫向量的外积向量积顾名思义,求下来的结果是一个向量,记这个向量为c向量c=向量a×向量b=absin “正确”的向量由向量空间的方向确定,即按照给定直角坐标系i, j, k的左右手定则若。
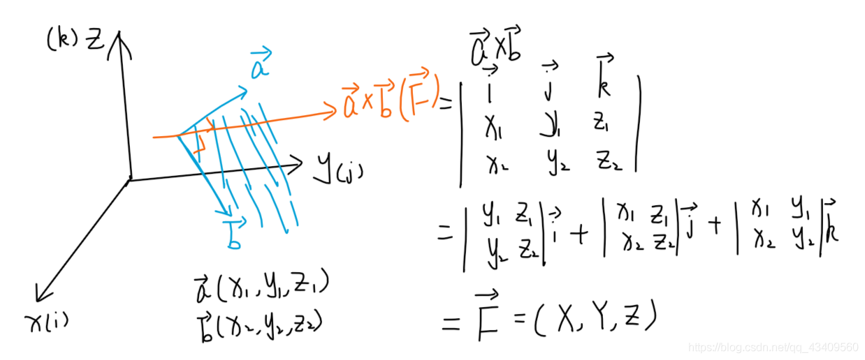
向量叉乘为张量,为设a=x1,y1,z1,b=x2,y2,z2具体计算如下aXb= i j k x1,y1,z1 x2,y2,z2 =y1z2y2z1ix1z2x2z1j+x1y2x2y1k 设向量为a=x1,y1,z1,张量为b=x。

标签: 向量叉乘公式
相关文章

发表评论